Fréquence
Supposons une roue qui roule. Lorsque cette roue effectue une rotation complète, elle a parcouru une distance égale à son périmètre.

Pour rappel: le périmètre d'un cercle est donné par la formule suivante:
![]()
Supposons que la roue a une vitesse linéaire v. Le temps requis pour effectuer une rotation complète est le périmètre (un changement de position) sur le temps:
![]()
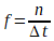
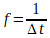
Définissons maintenant une nouvelle quantité: la fréquence de rotation. C'est le nombre de tours qu'une roue fait par unité de temps.
![]()
Le temps d'une rotation a été calculé dans la formule précédente. On peut donc le remplacer par l'expression à droite:
![]()
On peut résoudre cette formule pour la vitesse v, et obtenir une formule pour la vitesse en fonction de la fréquence de rotation et du rayon d'une roue.
![]()
