Trouver deux inconnues
On peut se retrouver dans des situations où le problème a non pas une mais deux inconnues. Tant qu'on a autant d'équations que d'inconnues, on peut résoudre le problème. L'algorithme utilisé est le même, avec deux petites modifications.
![]()
Rassembler et combiner les termes qui contiennent l'inconnue du même côté du signe égal; rassembler et combiner les termes ne contenant pas l'inconnue de l'autre côté du signe égal.
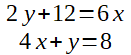
Ici, on a deux inconnues. Il faut choisir par quelle inconnue on va commencer. Dans les deux équations, y semble le plus simple à gérer (pas de facteur), donc résolvons les deux équations pour y.
ou ![]()
Voici maintenant l'étape que nous devons rajouter:
Remplacer l'inconnue dans la deuxième équation par l'expression à laquelle elle correspond dans la première.
Pour mémoire, l'expression, c'est tous les termes à droite du signe égal.
![]()
Ensuite, on reprend l'algorithme depuis le début.
Rassembler et combiner les termes qui contiennent l'inconnue du même côté du signe égal; rassembler et combiner les termes ne contenant pas l'inconnue de l'autre côté du signe égal.
![]()
On a trouvé une des deux inconnues! Pour trouver l'autre, il faut mettre ce résultat dans l'une des deux équations. Pour vérifier que c'est bien la deuxième solution, j'utilise les deux équations: je remplace x par la valeur que j'ai trouvé.
![]()
On a trouvé les deux solutions au système d'équation.
![]()



